=
 网站首页  关于我们  党建工作  学科专业  团队队伍  教学工作  科学研究  团学工作  招生计划  员工工作  就业创业 
 
工会群团
 
当前位置: 网站首页>>党建工作>>工会群团>>正文
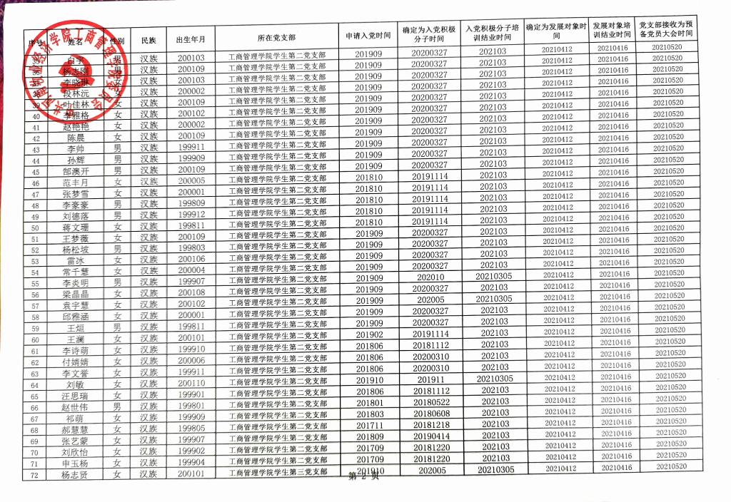
2022年上半年公司党委预备党员拟转正公示
2022-05-25 15:30     (点击: )
[文章下载] [字号: ]

打印    收藏
上一条:公司举办鲁小慧教授荣休座谈会
下一条:365英国上市公司关于2021-2022学年 “优秀教师”“优秀教育工作者”推荐人选的公示
关闭窗口